2026年04月04日 星期六
浏览次数:1689234
3月18日下午3时,王银茂荣获青铜篆印吉尼斯纪录新闻发布会在北京饭店举行,吉尼斯世界名人厉恩海总策划并颁发证书,中央电视台“今日中国”等栏目主持王京生为主持人。郭玉祥中将,祁荣祥、孙昌军、李大维(送花蓝)、刘长余等将军到会见证。抚州市委、市政府领导特派代表黄有盛局长祝贺讲话。“民族复兴航母基金会”总指挥于若梅以及社会各界著名人士姜文华、王京生、李采、张众喜、李秀芳、于敏祥、江强华、袁海涌等100多人参加。新闻媒体有中央电视台、人民日报、新华社、北京电视台、新浪网、腾讯网等30余条。
●●●2013年6月29日,"学篆七姐妹"书法篆刻艺术学习班在福州环桥大酒店举行开学典礼。●●●老红军、开国老将军、著名书画家王直将军(98岁)题字“天道酬勤“祝贺。原福州军区老红军王玉清,老八路叶汉林、何庆宇等老首长以及中国海峡会副会长张铭清教授等军政老领导,在学员“七姐妹“上门拜访时,送画册等表示支持并祝贺。●●●福建省原人大副主任宋峻,省统战部副部长游嘉瑞,福建省军区政治部副主任杨永让,省民政厅处长王和炎,国鼎安防集团老总贺云翔,厦门国际美容师周江雁,龙岩企业家钟瑾,平潭林炳耀等到场讲话祝贺,并为七姐妹颁发学员金牌、银牌匾。●●●著名书画家陈初良、高季笙、 陈泰宏、黄光辉、王瑞、曾光明、黄维国、何红、李清辉、吴德才、薛少明以及闽侯荆溪十位少儿书画爱好者葛锐義等到场挥毫泼墨。●●●圣泉印社副社长兼秘书长、军旅篆刻家王银茂现场组织并担任授课老师。“学篆七姐妹“有:甘花香、 杨鹃、王美垛、卓慕清、曾颖、汪兰君、王小曼。跟学者有:温丽君、常弘、许绍玲、 滕琳、黄南芬、陈昱、 宽闻、 周江雁、林捷、吴艳燕、 邹琴、宋水琴、 康丽、秦小淇、蔡丹、卓雅庭、文明、王曼颖、张颖、郑磊超、 王亚文、 王川文等。●●●庆典活动中,举行了名家作品展、书画笔会、 晚宴酒会,同时还举行了名家为“学篆七姐妹“每人赠送书画作品、篆刻印章、学篆制式工具箱等赠送仪式。学员杨鹃担任主持人,甘花香代表“七姐妹“学员上台讲话。●●●活动下午三点开始,晚上九点结束,参加庆典人员八十余人。●●●6月30日,“学篆七姐妹”艺术梦组合班来到福州圣泉寺举行第一场书画笔会。(石川)
当前位置:首页 >> 11_上_华夏印丛
【
第十版【91-97】《华夏印丛》——主编:王银茂 首次发布时间:2011.4.15 最近增补内容时间见下
】
发布时间:2013-05-09 浏览次数:3892
《华夏印丛》(9
1-97
) 主编:王银茂
上一篇:
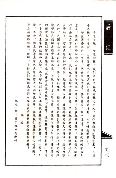
96【印从· 目录】华夏印丛 第96页 主编:王银茂
下一篇:
第九版【81-90】《华夏印丛》——主编:王银茂 首次发布时间:2011.4.15 最近增补内容时间见下
百度
凤凰网
新浪网
《杰出华人》杂志官网
抚州市委市政府网
福建省收藏家协会
福建省寿山石研究会
优酷网
中国将军书画网(北京)
江西将军书画院
中华将军书画交流协会(厦门)
袁海涌艺术网(北京)
福州货架文件柜(潘先生)
网站建设(王经理)
福州晚报(电子版)
海峡都市报(福州)
江南都市报(南昌)
首 页
|
关于我们
|
业务介绍
|
新闻动态
|
联系我们
|
在线留言
Copyright 2008-2011 Powered by 王银茂.COM,All Rights Reserved 闽ICP备11010465号